Einführung
in Mathcad / Zusatz zu Version 14
CAS
(Computer-Algebra-Systeme)
von
Rolf Wirz

Version 1.0 vom
05.10.2009
EinfuehrungInComputeralgebra2.doc erstellt mit MS-Word
|
©
Rolf Wirz |
2009 |
|
|
|
|
Adresse des Autors: |
Hochschule für Architektur, Bau und Holz HSB Pestalozzistrasse 20, CH-3400 Burgdorf Tel. +41 (0)34 426 42 30 |
Aufgetretene Fragen
bei Übungsblatt 1
Zusatz 3: Einfügen von externen
Dateielementen, Links
Zusatz 5: Lösen von
Gleichungssystemen
von
Rolf Wirz
Oft finden Sie in Ihrer Mathcad-Version nicht
Ihre gewünschte Sprache eingestellt. Gehen Sie dann wie folgt vor:
1.
Starten Sie Mathcad, z.B.
wie hier gezeigt durch Klick auf Mathcad im Menu:

2.
Wählen Sie dann „Tools è Preferences“:

3.
Im erscheinenden Fenster können Sie dann überall zum Beispiel
die Sprache „German“ einstellen (deutsch):

4.
Die Umstellung wird erst beim nächsten Neustart von Mathcad wirksam:

5.
Leider sind dann die Hilfen noch nicht umgestellt.
Gehen Sie dazu auf Readme:

6.
Dort finden Sie eine Anleitung.

7.
Sie werden jetzt im Mathcad
auf die eigene Webseite verwiesen (siehe grüner Pfeil):

8.
Dort können Sie die Sprache einstellen. (Achtung: Dann
„RUN“, „YES“, „OK“ drücken!)

9.
Danach können Sie das Benutzerhandbuch in deutscher
Sprache lesen.
1.
Löschen von Variablen und Symbolen: Mit gedrückter
linker Maustaste ein Fenster über den entsprechenden Bereich aufziehen. Dann
löschen z.B. mit der Tastenkombination „Ctrl x“.
2.
Inhalte einer Variablen löschen:
a.
Den Punkt „.“ Für missing value eingeben. Dann reagiert aber das Programm in der
Weise, dass es den Wert 0 als Variableninhalt
verwendet.
b.
Gibt man jedoch ein Leerzeichen (character)
„ „ ein, so wird dieses Textzeichen in Anführungszeichen ausgegeben.
c.
Gibt man dagegen kein Zeichen in Anführungszeichen
ein, also „“, so ist die Variable auf „character“
gesetzt, jedoch ohne Inhalt.
3.
Textzellen: (Menü Einfügen è Textbereich): In einer solchen Zelle kann man schreiben wie in einem gewöhnlichen
Textverarbeitungsprogramm.
a.
Erzeugen und beschreiben: Zelle öffnen mittels Menü
Einfügen è Textbereich. In
einer solchen Zelle kann man schreiben wie in einem gewöhnlichen
Textverarbeitungsprogramm: Formatieren, aufzählen u.s.w.
b.
Bewegen einer Textzelle: Entweder mit dem auf dem Rand
erscheinenden Händchen-Symbol oder mit den Pfeiltasten: Mit gedrückter linker
Maustaste ein Fenster über den entsprechenden Bereich aufziehen. Dieses kann
mit den Pfeiltasten relativ exakt bewegt werden.
4.
Vereinfachen eines Ausdrucks: In die Zelle des
Ausdrucks klicken, Ausdruck mit der linken Maustaste markieren, dann im Menü
Symbolik è Vereinfachen
anklicken. Damit erscheint eine Vereinfachung unterhalb des Ausdrucks.
o
o
http://rowicus.ch/Wir/MathcadExcelAndereMath/MathcadEinf/EinfuehrungInComputeralgebra2_01.pdf
o
o
o
http://rowicus.ch/Wir/MathcadExcelAndereMath/MathcadEinf/EinfuehrungInComputeralgebra2_01.xmcd
o
(1)
Auszug aus einer EXCEL-Tabelle
mit Copy/ Paste in Mathcad
kopiert und verändert
![]()
(2)
Teil einer Graphik mit Copy/
Paste in Mathcad kopiert

(3) Auszug aus der EXCEL-Tabelle in eine bereitgestellte Matrix kopiert und
verändert
(Anzeige-Format als Matrix
oder als Tabelle wählbar


(3)
Ein Element aus der Matrix extrahiert
![]()
(4)
Eine Spalte aus der Matrix extrahiert

(5)
Eine Zeile aus der Matrix extrahiert
![]()
(6)
Zwei Bereichsvariablen a und b definiert
![]()
![]()
(7)
Mit einer doppelten Bereichsvariablen eine Diagonale
ausgewählt

(8)
Aus einer Matrix eine Spalte und dann aus der Spalte
ein Bereich ausgewählt

![]()
(9) Aus der Matrix MM eine
Zeile (mittels transponieren) und dann aus dieser Zeile ein
Bereich ausgewählt


Doppelklick in die Matrix,
Anzeige-Optionen, Anzeige-Format Tabelle, dann mit Copy/
Paste in EXCEL einfügbar
Lösen eines Gleichungssystems:
![]()
![]()
Handbuch Mathcad14, Seite 176
Symbolische Lösung eines Gleichungssystems: „auflösen“' (Schlüsselwort)
Mit dem Schlüsselwort auflösen, das für die Lösung einer Gleichung in einer Unbekannten verwendet wird, können auch Gleichungssysteme gelöst werden. So lösen Sie ein System mit n Gleichungen für n Unbekannte:
1. Geben Sie [Strg] M ein, um einen Vektor mit n Zeilen und 1 Spalte zu erstellen.
2. Füllen Sie die Platzhalter des Vektors mit den n Gleichungen des Systems. Drücken Sie unbedingt [ Strg] [=], um das Boolesche Gleichheitszeichen einzufügen.
3. Drücken Sie [ Strg] [Umschalt] [.] ( Punkt).
4. Geben Sie auflösen ein (schreiben), gefolgt von einem Komma im Platzhalter rechts vom symbolischen Gleichheitszeichen „->“'.
5. Geben Sie [Strg] M ein, um einen Vektor mit n Zeilen und 1 Spalte zu erstellen. Geben Sie die Variablen ein, nach denen Sie auflösen.
6. Drücken Sie die [Eingabetaste]. Mathcad zeigt die n Lösungen für das Gleichungssystem rechts von dem symbolischen Gleichheitszeichen an.
Besser wäre die numerische Lösung mit Matrizen:
![]()
![]()
![]()
Nichtlineares System:
![]()
(Kommentar: „Given“
oder „Vorgegeben“ je nach Sprache und Version)



Ergibt mit Mathcad 12: aval = 2.112E-3, b = -463.515, c = -87.145
Scheint mit Mathcad 12 nicht konvergent zu sein. Analoges Resultat mit Mathcad 14.
Vergleich mit
Mathematica:
result=FindRoot[{201/a Cosh[a(10-x0)]+b,101/a Cosh[0]+b, 301/a Cosh[a(50-x0)]+b},{{a,0.5},{b,5},{x0,20}}]
{a®0.0632746,b®-5.80412,x0®26.954}
f[x_]:=1/a Cosh[a(x-x0)]+b/.result;
Plot[f[x],{x,10,50}]

Dieses Resultat mit Mathematica entspricht den Erwartungen!
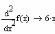
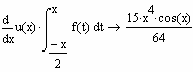
Neue Auswertungs-"Klickabfolge"
bei Differenzieren und Integrieren:
Differenzieren: Im Gegensatz zu alten Mathcad-Versionen:
Funktion definieren:
Achtung ":"
eingeben und nicht ":="
![]()
Oder:
![]()
Pfeil aus dem Fenster
"Auswerten", danach Enter
Differenzieren: Im Gegensatz zu alten Mathcad-Versionen:
Pfeil aus dem Fenster
"Auswerten", danach Enter
oder

Integrieren: Im Gegensatz zu alten Mathcad-Versionen:
Pfeil aus dem Fenster
"Auswerten", danach Enter 
Gemischt: Im Gegensatz zu alten Mathcad-Versionen:
Pfeil aus dem Fenster
"Auswerten", danach Enter
Zusammengesetzte Operation
Wertzuweisung:
![]()
Funktionsdefinition mit derselben Variablen:
![]()
Berechnung für einen anderen Wert von t funktioniert:
Berechnung mit einer anderen Variablen funktioniert
nicht:
(kein Output)
Berechnung für den voreingestellten t-Wert
funktioniert:
![]()
Lösen einer Gleichung mit einer anderen Variablen:
.52359877559829887308
oder ![]()
Funktionswert der Lösung zurückrechnen:
0.5 oder ![]()
Mit Bereichsvariablen
rechnen:
![]()
![]()

*
* *